- 聯系我們
- 內 貿 部:0632-5228899 18806325904
外 貿 部:0632-3671188 17763266218
采 購 部:0632-7663999 18663267979
人力資源:0632-7683555
郵箱:kr@krwater.com
官 網:http://www.andsart.com
地址:山東省棗莊市薛城區薛城化工產業園府前路路南1號
Sodium salt of Diethylene Triamine Penta (Methylene Phosphonic Acid) (DTPMP·Na2)
- CAS No. 22042-96-2
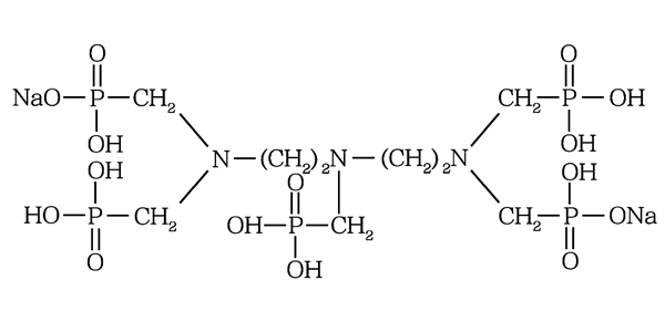
- 分子式 C9H26O15N3P5Na2
- 結構式
-

- 一、性能與用途:
-
DTPMP?Na2由DTPMP的不同形式鈉鹽組成,可用作阻垢劑、高效螯合劑、優良的BaSO4阻垢劑,廣泛用于冷卻水處理、過氧化物漂白的穩定劑、洗滌助劑、市政工業清潔用水、地熱水處理、油田阻垢。
- 二、技術指標 HG/T4330-2012
| 項 目 |
指 標 |
| 外 觀 |
紅棕色液體 |
| 活性組分(以DTPMPA計) % |
45.0-49.0 |
| 氯化物 (以Cl-計) % |
≤5.0 |
| Fe(以Fe2+計)含量mg/L |
≤20.0 |
|
密度(20℃)g/cm3
|
≥1.35 |
| pH值(1%水溶液) |
2.0-3.0 |
- 三、包裝與貯存
-
DTPMP?Na2用塑料桶包裝,每桶25kg或250kg,或根據用戶需求確定。貯于室內陰涼處,貯存期十個月。
- 四、安全防護
-
DTPMP?Na2為弱酸性,操作時注意勞動保護,應避免與皮膚、眼睛等接觸,接觸后用大量清水沖洗。